Jump to content

Poly de l'avant 2024/2025 QCM 20


Go to solution Solved by Algernon,

Recommended Posts

Posted

Hola 👋

J'aurais besoin de votre aide par rapport au QCM suivant : 

https://zupimages.net/viewer.php?id=24/49/bdft.png

 

Voici la correction :

https://zupimages.net/viewer.php?id=24/49/shv7.png

 

Mon problème est que malgré le fait que je connaisse bien mes formules, je n'arrives vraiment pas à trouver les mêmes résultats...😭

Je ne sais pas du tout ce que je fait de mal, et je n'ai pas réussi à trouver même avec la correction.

 

Si quelqu'un pouvait me détailler les détails, ou sa façon de réaliser l'exo pour que je puisse comparer ce serai génial 🤭

Merci d'avance pour votre aide 😌

Bonne fin d'après midi 💗

  • Solution
Posted

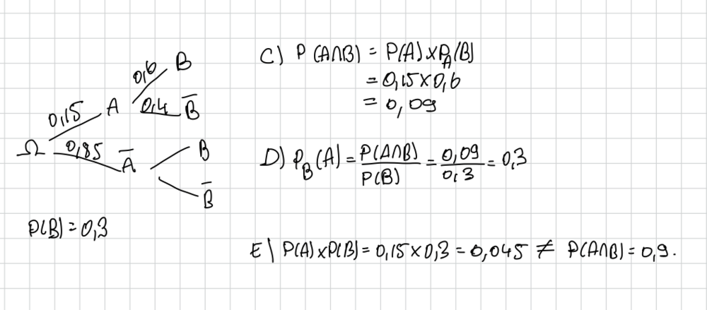
Saluut ! La réponse apportée par @Imooo est top ! (bravo <3) 

 

Ce qui peut être difficile ici c'est que tu utilises les réponses que tu as trouvé dans les autres items donc si un est faux ça kaput tout :/  

 

Je me permet juste de remettre les formules que tu dois utiliser pour chaque item : 

 

B)  P(A inter B) = P(A) x P(A | B) = P(B) x P(B | A) = 0,15 x 0,6 = 0,09 

             -> ici comme tu ne connais pas P(A | B)  tu travailles avec la formule en gras 

 

C) P(A inter B) = P(A) x P(A | B) <=> P(A | B) = P(A inter B) / P(B) 

 

D) P(A | B) = P(A inter B) / P(A) = 0,09 / 0,3 = 0,3 (c'est une petite coquille dans la correction mais l'item est bien faux dans tous les cas ) 

 

E) Des évènements sont indépendants si : 

            -> P(A | B) = P(A) or ici P(A | B) = 0,3 et P(A) = 0,15 

            -> P(A inter B) = P(A) x P(B) or ici P(A inter B) = 0,09 et P(A) x P(B) = 0,045

 

Désolée pour les "inter" mais je peux pas faire le signe au clavier 

 

Est ce que c'est plus clair pour toi @Loïstamine ? N'hésite pas si tu as d'autres questions :) 

 

Bon courage pour les révisions <3 

 

Posted
Il y a 1 heure, Imooo a dit :

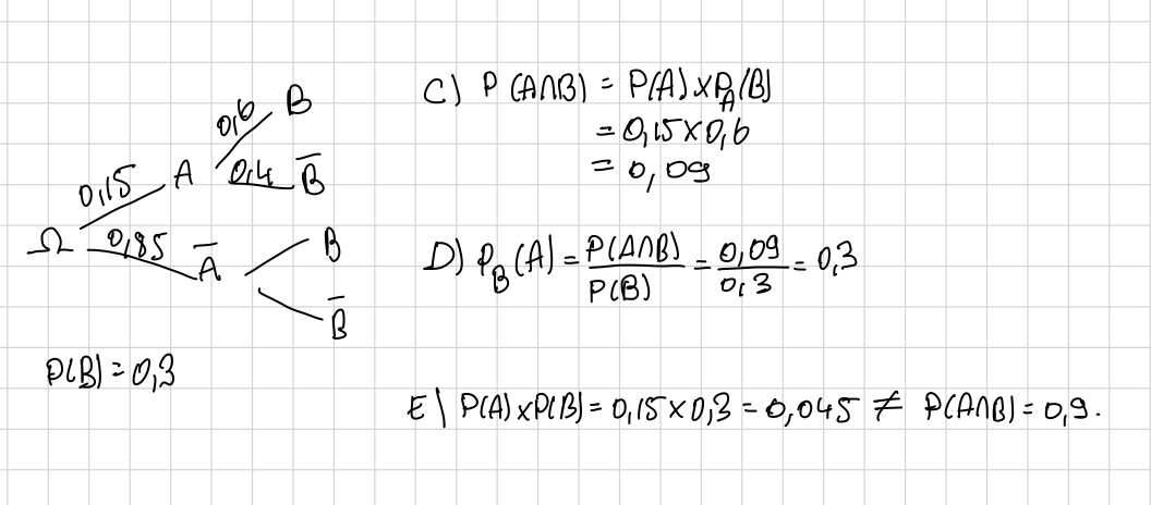
Coucou, alors moi voilà ce que je trouve mais ducoup je suis aussi bloqué parce que au D je trouve pas pareil que la correction donc bon 🤔😅😂

Math .png

 

il y a une heure, Algernon a dit :

Saluut ! La réponse apportée par @Imooo est top ! (bravo <3) 

 

Ce qui peut être difficile ici c'est que tu utilises les réponses que tu as trouvé dans les autres items donc si un est faux ça kaput tout :/  

 

Je me permet juste de remettre les formules que tu dois utiliser pour chaque item : 

 

B)  P(A inter B) = P(A) x P(A | B) = P(B) x P(B | A) = 0,15 x 0,6 = 0,09 

             -> ici comme tu ne connais pas P(A | B)  tu travailles avec la formule en gras 

 

C) P(A inter B) = P(A) x P(A | B) <=> P(A | B) = P(A inter B) / P(B) 

 

D) P(A | B) = P(A inter B) / P(A) = 0,09 / 0,3 = 0,3 (c'est une petite coquille dans la correction mais l'item est bien faux dans tous les cas ) 

 

E) Des évènements sont indépendants si : 

            -> P(A | B) = P(A) or ici P(A | B) = 0,3 et P(A) = 0,15 

            -> P(A inter B) = P(A) x P(B) or ici P(A inter B) = 0,09 et P(A) x P(B) = 0,045

 

Désolée pour les "inter" mais je peux pas faire le signe au clavier 

 

Est ce que c'est plus clair pour toi @Loïstamine ? N'hésite pas si tu as d'autres questions :) 

 

Bon courage pour les révisions <3 

 

 

Oh waw ! Ok !!! 🤯

C'est bon pour moi j'ai compris mon erreur 🫡

Merci à toutes les 2 de m'avoir répondu 🤭

Bonne soirée 🫶

 

Join the conversation

You can post now and register later. If you have an account, sign in now to post with your account.
Note: Your post will require moderator approval before it will be visible.

Guest
Reply to this topic...

×   Pasted as rich text.   Paste as plain text instead

  Only 75 emoji are allowed.

×   Your link has been automatically embedded.   Display as a link instead

×   Your previous content has been restored.   Clear editor

×   You cannot paste images directly. Upload or insert images from URL.

  • Recently Browsing   0 members

    • No registered users viewing this page.
×
×
  • Create New...