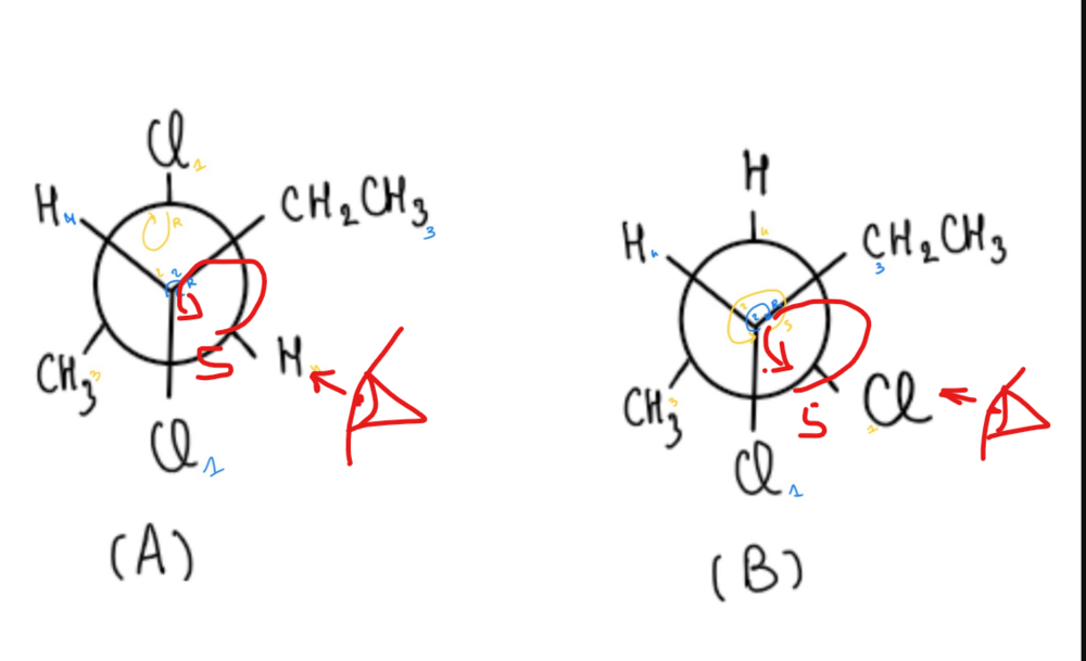
Responsable Matière Batman_sans_Robin Posted November 16, 2024 Responsable Matière Posted November 16, 2024 Bien le bonjour à vous, J'aurais besoin d'aide pour trouvez les configurations R;S des 2 molécules. J'obtiens ceci : https://zupimages.net/viewer.php?id=24/46/2ibo.jpeg Mais la correction indique que la molécule A est 2R;3S et la molécule B 2S;3S. Si quelqu'un peut m'expliquer où je me trompe Bien à vous, Batman (: Quote
Solution Doc_Paillette Posted November 16, 2024 Solution Posted November 16, 2024 Salut @Batman_sans_Robin, Ta numérotation pour les groupements des 2 molécules est bonne, tu as bien respecté l'ordre des priorités. Mais attention, pour le premier cadran des 2 molécules, tu as inversé le sens de lecture de la configuration. La première molécule est bien 2R;3S et la deuxième 2S;3S. Pour comprendre, il faut TOUJOURS placer le groupement H (plus faible poids moléculaire) dans le dos. Dans les 2 molécules, c'est comme si tu les observais d'en bas à droite. Je sais pas si tu arrives à voir ? Je te joins un schéma un peu bancal, je suis pas très doué sur ordi C'est une gymnastique mentale mais quand tu y arrives, plus rien ne t'arrête. N'hésite pas si tu as d'autres questions ;) Cicatrix, Batman_sans_Robin, An-Schwann and 1 other 2 1 1 Quote
Rhomolium Posted November 16, 2024 Posted November 16, 2024 @Doc_Paillette j’ai une question en Fischer ces deux molécules ont les représente comment, car je suis pas sûr de les avoir bien représenté mais j’ai trouvé les bonnes réponses. J’aimerais être sûr d’avoir compris comment on faisait, merci d’avance. Quote
Doc_Paillette Posted November 16, 2024 Posted November 16, 2024 Coucou @Rhomolium, Voilà les molécules dessinées en Fisher : N'hésite pas si tu ne comprends pas quelque chose ;) Rhomolium and Shoufre 2 Quote
Rhomolium Posted November 16, 2024 Posted November 16, 2024 Merciiii beaucoup, c’est bon j’ai compris @Doc_Paillette Doc_Paillette 1 Quote
Responsable Matière Batman_sans_Robin Posted November 16, 2024 Author Responsable Matière Posted November 16, 2024 Il y a 1 heure, Doc_Paillette a dit : tu as inversé le sens de lecture de la configuration Purée de pomme de terre !! J'ai compris Il y a 1 heure, Doc_Paillette a dit : observais d'en bas à droite En fait j'avais complètement "zappé" la 3d de la molécule, forcément je tournais pas dans le bon sens.. Merci beaucoup !!! Je vais en faire d'autre pour être sûr Bonne soirée à toi et merci encore Doc_Paillette 1 Quote
Recommended Posts
Join the conversation
You can post now and register later. If you have an account, sign in now to post with your account.
Note: Your post will require moderator approval before it will be visible.