Jump to content

Chimie organique


Go to solution Solved by maelysine,

Recommended Posts

Posted

Salut j’avais une question un peut bizarre mais je vais essayer de l’expliquer clairement 😅.
Pour déterminer la configuration en S ou en R d’une molécule, on classe les substituants pas ordre croissant du Z 

donc si par exemple on prend la molécules ci dessous en pdf on a :

Pour le C2:

—> le H à Z=1

—> le OH à Z=9

—> le CHO à Z=9 

mais du coup pour 4e substituants je voulais savoir si on prenais juste C à Z=6

ou alors CHOH à Z= 10

 

Voila merci 

831e7139.pdf

Posted

Salut @Rosalie !

Tout d’abord pour classer les substituants, il faut faire par Z DEcroissant et non croissant. 

De plus, il ne faut pas additionner les Z de tes substituants quand tu les classes. Par exemple pour OH, il n’y a que le Z de O qui compte ici. 

Ainsi, pour ce C, tu auras : 

- 1er substituant : OH

- 2ème : CHO

- 3ème : l’autre C

- 4eme : H

 

Je ne sais pas si ça répond à ta question. Si jamais n’hésite pas !

Bon courage !

  • Solution
Posted

Salut! 

 

Alors attention, pour déterminer la configuration, il faut classer les substituants par ordre DÉCROISSANT. 

Ainsi le substituant avec le plus grand Z sera classé numéro 1 et ainsi de suite. 

 

Ensuite, il faut savoir qu’il ne faut pas additionner les numéros atomiques des atomes des substituants. Il faut toujours regarder l’ordre et classer tes atomes selon le « rang » où ils se trouvent par rapport à ton carbone. 

 

Ici par exemple, ton carbone est lié à 1 « O », deux « C » et un « H ».

L’oxygène porte le numéro 1 et l’hydrogène le numéro 4.

 

Puisque tu as 2 carbones, tu passes au rang suivant pour les départager: CHO: le C est doublement lié à l’oxygène donc il porte le numéro 2 et l’autre carbone le numéro 3. 

 

En espérant que ça t’ai aidé, n’hésites pas si tu as d’autres questions ;)

 

Posted

(Oups oui décroissant) ok ça m’aide beaucoup merci ☺️ 

Juste je me demandais aussi si on classe en fonction du nb d’atome également par ex, j’ai un C lié à : « NH2 » qui sera donc en position 1,

« H» qui sera en 4, et « COCL » et « C2H5 » donc pour comparer les deux si j’ai bien compris je regarde directement à la couche d’après donc entre le « O » et le « H ». Mais du coup comme içi j’ai un nombre de C différent, il faut le prendre en compte ou c’est complètement indépendant ?

  • Ancien Responsable Matière
Posted
il y a 47 minutes, Rosalie a dit :

(Oups oui décroissant) ok ça m’aide beaucoup merci ☺️ 

Juste je me demandais aussi si on classe en fonction du nb d’atome également par ex, j’ai un C lié à : « NH2 » qui sera donc en position 1,

« H» qui sera en 4, et « COCL » et « C2H5 » donc pour comparer les deux si j’ai bien compris je regarde directement à la couche d’après donc entre le « O » et le « H ». Mais du coup comme içi j’ai un nombre de C différent, il faut le prendre en compte ou c’est complètement indépendant ?

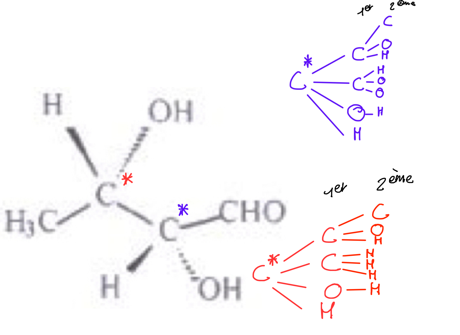
Coucou, enfaite tu regarde d’abord l’atome qui est directement lié à ton carbone asymétrique, si jamais tu as deux éléments identiques tu vas regarder la liaison suivante, pour pouvoir bien différencier tu peux faire une sorte d’arbre, je te fait un exemple avec la molécule de ta première question : 

hvgdi6.jpg
 

J’espère que ça pourra t’aider à mieux comprendre.

Join the conversation

You can post now and register later. If you have an account, sign in now to post with your account.
Note: Your post will require moderator approval before it will be visible.

Guest
Reply to this topic...

×   Pasted as rich text.   Paste as plain text instead

  Only 75 emoji are allowed.

×   Your link has been automatically embedded.   Display as a link instead

×   Your previous content has been restored.   Clear editor

×   You cannot paste images directly. Upload or insert images from URL.

  • Recently Browsing   0 members

    • No registered users viewing this page.
×
×
  • Create New...