chapeau Posted November 4, 2024 Posted November 4, 2024 Salut, je ne comprends pas comment sont déterminés les stéréoisomères ici, normalement ce n'est pas 2puissanceC* ? https://ibb.co/bNL57qj Quote
Titi_ Posted November 4, 2024 Posted November 4, 2024 salut, il me semble que le nombre de stéréoisomères est déterminé en fesant : nC*---> 2^^n Quote
Solution Cicatrix Posted November 4, 2024 Solution Posted November 4, 2024 Salut @chapeau, effectivement, comme @Titi_ et toi l'avez dit on calcule le nombre de stéréoisomères avec : 2nombre de C*. Or ici nous avons AUSSI des isoméries géométriques Z/E, donc cela multiplie le nombre de stéréoisomères (les stéréoisomères E et Z ne seront pas les mêmes). Par exemple pour le QCM 33 : Il y a 1 C* et 1 double liaison. 2nombre de C*= 21 = 2 mais les isomères RZ et RE seront différent donc on a 4 stéréoisomères en tout : RE, RZ, SE, SZ. Il faut donc prendre en compte la double liaison ;) (j'ai dessiné la molécule étant de configuration Z mais ce n'est qu'un exemple !) Titi_, Shoufre and DJOLIPRANE 2 1 Quote
chapeau Posted November 7, 2024 Author Posted November 7, 2024 D'accord, c'est un peu plus clair mais par contre pour le qcm suivant je ne comprends pas, il n'y a pas de carbone asymétrique ? Quote
Cicatrix Posted November 7, 2024 Posted November 7, 2024 Non il n'y en a pas sur cette molécule : Par contre il y a des isoméries géométriques (Z/E) Quote
chapeau Posted November 7, 2024 Author Posted November 7, 2024 mais donc il n'y a pas de stéréoisomères si ? Quote
Cicatrix Posted November 7, 2024 Posted November 7, 2024 si, pourquoi ce serait différent du 1er qcm ? @chapeau voici les stéréoisomères : ZZ, ZE, EZ, EE Quote
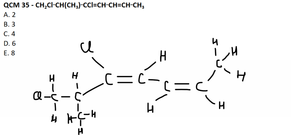
chapeau Posted November 7, 2024 Author Posted November 7, 2024 je ne comprends pas quand on se représente la molécule qu'est ce que nous sommes sensé mettre ensemble comme liaison, par exemple dans le qcm 35 quand on veut se la représenter comment on sait si CH3 est avec CH2Cl ou non ? mais je ne comprends pas comment on se place pour déterminer cette configuration ZZ, ZE etc pour moi on a uniquement la molécule la plus haute en Z et la plus basse en Z également ? pourquoi il y a deux lettres ? Quote
Cicatrix Posted November 7, 2024 Posted November 7, 2024 (edited) il y a 5 minutes, Cicatrix a dit : voici les stéréoisomères : ZZ, ZE, EZ, EE SAUF QUE y a un plan de symétrie !! donc ZE=EZ donc il y en a que 3 !! il y a 4 minutes, chapeau a dit : comment on sait si CH3 est avec CH2Cl ou non autour du carbone de CH3 il y a la place pour 4 liaisons, OR 3 de ces liaisons sont prises par les hydrogènes ! donc il ne reste qu'un seul électron célib dispo et il est pris par le carbone, il ne peut pas être lié au Cl essaie de dessiner la molécule du qcm 35 pour tenter : et envoie-la moi, et tu me dis si ça t'aide Edited November 7, 2024 by Cicatrix Quote
chapeau Posted November 7, 2024 Author Posted November 7, 2024 D'accord, j'ai fait ça ? https://ibb.co/3ShQwY6 Je ne comprends toujours pas comment tu as déterminé les Z et E du QCM 34, et pourquoi il y a ZZ ou ZE et pas juste une lettre ? Quote
Cicatrix Posted November 7, 2024 Posted November 7, 2024 ok alors la partie que j'ai entourée est fausse, un Carbone doit être entouré de 4 atomes et un Cl ne peut être lié qu'à un seul atome !! Quote
chapeau Posted November 7, 2024 Author Posted November 7, 2024 Pour le qcm 33, tu as noté RE, RZ, SE, SZ mais R et S servent pour le sens, ici ils sont utiles ? Quote
Cicatrix Posted November 7, 2024 Posted November 7, 2024 c'est lié à l'atomistique, quand tu vois le cortège électronique du C il y a 1s2 2s2 2p2, donc il y a 4 électrons de valence (2s2 2p2) qui formeront 4 liaisons à l’instant, chapeau a dit : Pour le qcm 33, tu as noté RE, RZ, SE, SZ mais R et S servent pour le sens, ici ils sont utiles ? je ne comprends pas ta question... "utile" ? On cherche le nombre de stéréoisomères donc je t'ai énuméré les stéréoisomères existants pour que tu vois qu'il y en a 4 il y a 7 minutes, chapeau a dit : comment tu as déterminé les Z et E du QCM 34, et pourquoi il y a ZZ ou ZE et pas juste une lettre ? il y a Z ou E pour la première double liaison, puis Z ou E pour la 2e, donc quand je met "ZZ" c'est que la 1re est Z et la 2e est Z ZE : la 1re est Z et la 2e est E (et ici EZ c'est la même molécule grâce à la symétrie) EE : les 2 doubles liaisons sont E Quote
chapeau Posted November 7, 2024 Author Posted November 7, 2024 je ne comprends pas ce que sont R et S ? Quote
chapeau Posted November 7, 2024 Author Posted November 7, 2024 https://ibb.co/M7ZSvwV comme ça ? Quote
Cicatrix Posted November 7, 2024 Posted November 7, 2024 Quand on cherche les stéréoisomères, c'est qu'on cherche les différentes configurations de la molécule, or si le carbone asymétrique est R c'est une config différente de s'il est S C'est pareil pour les configurations Z et E, ce ne sont pas les mêmes versions de la molécule Quote
chapeau Posted November 7, 2024 Author Posted November 7, 2024 Je ne comprends vraiment pas comment tu as déterminé ça ZZ, ZE, EZ, EE au qcm 34 et RE, RZ, SE, SZ au qcm 33 ? Quote
Cicatrix Posted November 7, 2024 Posted November 7, 2024 j'ai énuméré toutes les possibilités il y a 2 minutes, chapeau a dit : https://ibb.co/M7ZSvwV comme ça ? oui ta molécule est juste mais ce n'est plus la même que l'énoncé du qcm 35 Quote
chapeau Posted November 7, 2024 Author Posted November 7, 2024 oui mais comment tu les as trouver les possibilités c'est ça que je ne comprends pas et pourquoi dans un on prend en compte les S et R et pas dans l'autre ? et mince, je ne comprends pas ? https://ibb.co/61G0tXB comme ça c'est bon non ? Quote
Cicatrix Posted November 7, 2024 Posted November 7, 2024 à l’instant, chapeau a dit : oui mais comment tu les as trouver les possibilités c'est ça que je ne comprends pas et pourquoi dans un on prend en compte les S et R et pas dans l'autre ? Dès qu'il y a un carbone asymétrique, il y a 2 possibilités : R ou S. Dès qu'il y a une double liaisons entre 2 carbones qui ont des constituants différents, il y a 2 possibilités : Z ou E. D'où le calcul du nombre de stéréoisomères avec des C* : 2nbre de C* + nombre de doubles liaisons qui font Z/E il y a 3 minutes, chapeau a dit : et mince, je ne comprends pas ? Le Cl et le CH3 sont inversés, à gauche C'est le Cl qui est lié directement au carbone de la double liaison (car il est écrit juste à côté dans l'énoncé) : il y a 6 minutes, chapeau a dit : https://ibb.co/61G0tXB comme ça c'est bon non ? le Cl et le CH3 sont toujours inversés : mais c'est mieux on y arrive !! c'est ça : Quote
chapeau Posted November 7, 2024 Author Posted November 7, 2024 D'accord c'est beaucoup plus clair, merci beaucoup pour la configuration Z, E, R etc ! Par contre, du coup si j'inverse les deux, je ne peux plus lier les autres molécules puisque le CH3 sera aussi lier au C qui fait la double liaison et que le Cl peut se lier une seule fois, donc comment je fais ? Cicatrix 1 Quote
Cicatrix Posted November 7, 2024 Posted November 7, 2024 il y a 1 minute, chapeau a dit : je ne peux plus lier les autres molécules quelles molécules veux-tu lier ? Quote
chapeau Posted November 7, 2024 Author Posted November 7, 2024 CH2Cl-CH Pour le qcm 36 https://ibb.co/yBZBpKm , j'ai une configuration pour la double liaison possible Z ou E mais quand je développe la suite j'ai le même problème, je ne peux pas compléter car toutes les liaisons sont prises https://ibb.co/1TPXfJm Quote
Cicatrix Posted November 7, 2024 Posted November 7, 2024 le CH2Cl reste là où il était et ça donne ça : Quote
Recommended Posts
Join the conversation
You can post now and register later. If you have an account, sign in now to post with your account.
Note: Your post will require moderator approval before it will be visible.