Jump to content

Recommended Posts

  • Ancien Responsable Matière
  • Solution
Posted

coucou,

 

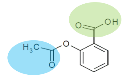
en effet l'aspirine a deux sites pharmacologiquement actifs (=pharmacophores), à savoir : 

  • le radical acétyl : se lie de façon covalente à la sérine 530 de la COX1 
  • le radical COOH : se lie à l'arginine 120 de la COX par des liaisons ioniques 

 

j'espère que c'est plus clair pour toi ! 😊

image.png

Join the conversation

You can post now and register later. If you have an account, sign in now to post with your account.
Note: Your post will require moderator approval before it will be visible.

Guest
Reply to this topic...

×   Pasted as rich text.   Paste as plain text instead

  Only 75 emoji are allowed.

×   Your link has been automatically embedded.   Display as a link instead

×   Your previous content has been restored.   Clear editor

×   You cannot paste images directly. Upload or insert images from URL.

  • Recently Browsing   0 members

    • No registered users viewing this page.
×
×
  • Create New...