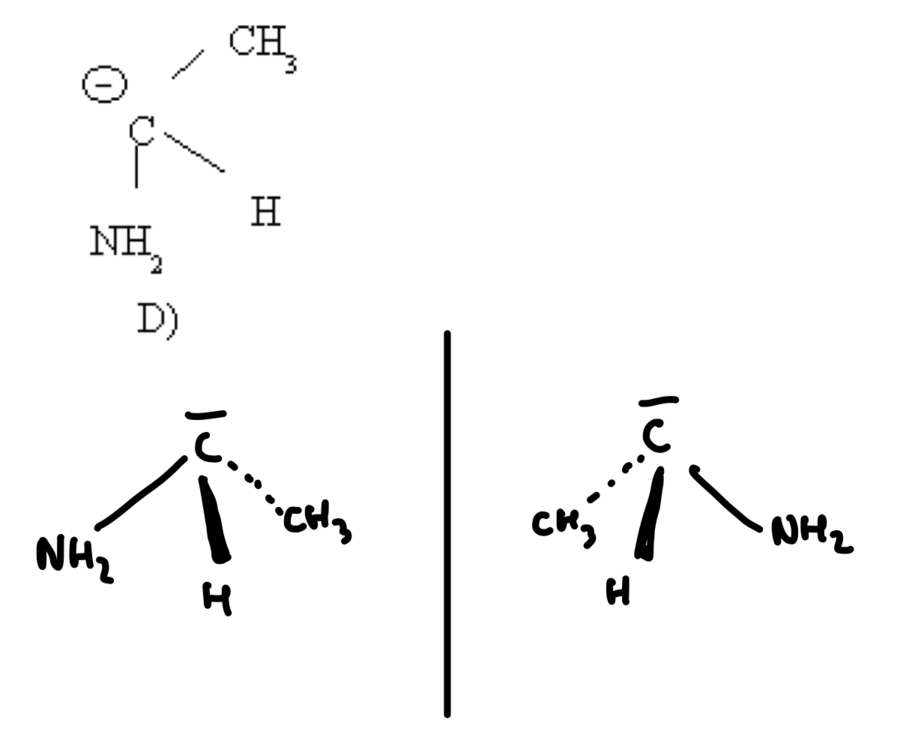
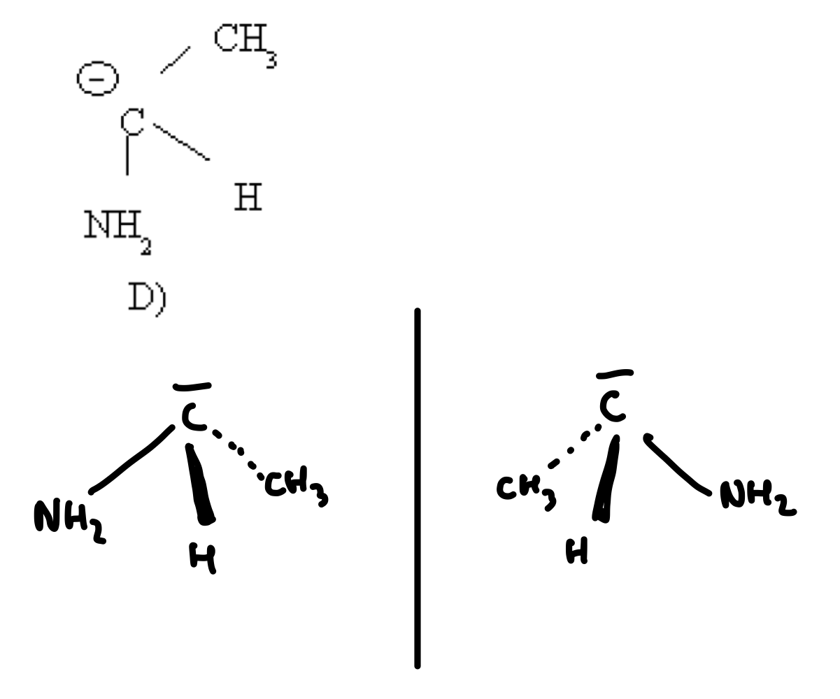
Tuteur mate_ces_teh Posted October 23, 2024 Tuteur Posted October 23, 2024 Bonjour, j’ai du mal à comprendre pourquoi « un carbanion n’est pas chiral » (c’est la molécule de l’image) J’ai l’impression qu’on peut obtenir deux images non superposables en mirroir : Quote
Solution DJOLIPRANE Posted October 23, 2024 Solution Posted October 23, 2024 salut @romrom_ la définition d'une molécule chirale est: pas superposables dans un miroir, pas de plan ni de centre de symétrie et qui possède ou moins un centre asymétrique le plus souvent un C (mais ca peut etre un N aussi) pour rappel un C asymétrique est un C qui possède 4 groupements différents autour de lui. Dans le cas d'un carbanion le C est entourées seulement de 3 groupements différents Est ce que tu d'accord avec moi ? Donc je pense qu'il te manquais une petite information ! un carbanion c'est pas une molécule chirale J'espère que c'est plus clair n'hésite pas si tu as d'autres questions !!!!! Loïstamine, Doc_Paillette and Shoufre 2 1 Quote
Tuteur mate_ces_teh Posted October 23, 2024 Author Tuteur Posted October 23, 2024 salut ! déjà, merci de la réponse je suis un peu confus parce que tu dis que N peut être asymétrique (je suis d'accord avec ça), sauf que N n'a que 3 groupements différents lui aussi. Donc le carbone dans ce cas ci n'agit t'il pas comme un azote asymétrique ? Dans un autre sujet, un tuteur a dit qu'on comptait le doublet comme un substituant Aussi, je croyais qu'une molécule pouvait être chirale même sans carbone asymétrique (notamment avec l'isomérie Z/E) ? Quote
DJOLIPRANE Posted October 23, 2024 Posted October 23, 2024 le N est un élément particulier en effet il y a 3 groupements et un doublet non liant mais il est considéré comme une molécule achirale meme si ses groupements sont différents et qu'il n'a pas de symétrie. Je me suis peut etre mal exprimée sorryyyy il y a un cas ou l'azote est chirale c'est dans les ammoniums quaternaires!!! donc on peut pas exactement comparer le C avec le N Shoufre 1 Quote
Tuteur mate_ces_teh Posted October 23, 2024 Author Tuteur Posted October 23, 2024 pardon je force un peu, mais c'est vraiment impossible pour une molécule d'être chirale sans carbone asymétrique ? Dans le cours la définition c'était juste aucun plan ni axe de symétrie et non superposable à son image dans miroir Quote
DJOLIPRANE Posted October 23, 2024 Posted October 23, 2024 pour moi la chiralité va avec l'asymétrique (tu as aussi les mains qui sont chirales dans le cours mais c'est pour comprendre l'histoire d'images) Shoufre 1 Quote
Ancien Responsable Matière Shoufre Posted October 23, 2024 Ancien Responsable Matière Posted October 23, 2024 Hello ! Pour qu'une molécule soit chirale il faut qu'elle est un atome asymétrique, vous ne le verrez pas cette année mais c'est totalement possible d'avoir du phosphore asymétrique, tout comme de l'azote asymétrique... Il faut aussi qu'elle n'est pas de plan de symétrie et qu'elle ne soit pas superposables à son image dans un miroir. Donc non c'est impossible sans asymétrie ! Et c'est totalement possible d'avoir une molécule chirale avec un azote asymétrique au lieu du carbone comme dans le QCM 24 item A, ta molécule c'est C6NH16+ et comme tu peux le voir, ton atome central est le moins représenté (ici l'azote) et celui ci est relié à C3H7, C2H5, CH3 et H (il ne porte plus son doublet et est chargé+), il porte donc bien 4 substituants différents et la molécule est chirale ! Est-ce que c'est plus clair ? Doc_Paillette, DJOLIPRANE and Loïstamine 2 1 Quote
Tuteur mate_ces_teh Posted October 23, 2024 Author Tuteur Posted October 23, 2024 Okay merci beaucoup je comprends mieux ! Pour le cas des molécules comme C3H4 (avec les formes Z/E) du coup il n'y pas d'atome asymétrique, ce n'est pas de la chiralité ? C'est un autre type d'isomérie ? Quote
Ancien Responsable Matière Shoufre Posted October 23, 2024 Ancien Responsable Matière Posted October 23, 2024 il y a une heure, romrom_ a dit : Okay merci beaucoup je comprends mieux ! Pour le cas des molécules comme C3H4 (avec les formes Z/E) du coup il n'y pas d'atome asymétrique, ce n'est pas de la chiralité ? C'est un autre type d'isomérie ? Ouii c'est ça ! Il y a l'isomérie OPTIQUE avec la configuration absolue R/S (qui définit la capacité d'une molécule à dévier la lumière polarisée soit sa chiralité) et il y a l'isomérie GÉOMÉTRIE avec la configuration Z/E mate_ces_teh and DJOLIPRANE 1 1 Quote
Recommended Posts
Join the conversation
You can post now and register later. If you have an account, sign in now to post with your account.
Note: Your post will require moderator approval before it will be visible.