Jump to content

Recommended Posts

Posted

Bonjour,  comment arriver à comprendre la chimie au faite suis bloquée avec cette unité d'enseignement j'arrive pas à comprendre mon cerveau est bloquée en plus c'est à distance en dirais j'ai jamais fais des études je comprends rien avec ces équations. 

  • Ancien Responsable Matière
Posted

Heyy

Ce que je te conseille c'est de vraiment refaire les TD les cours sont parfois théoriques et un peu loin des attentes réelles des enseignants.  C'est vrai en médecine mais c'est extrêmement vrai en licence  le meilleur moyen de réussir c'est pas de tout connaître par cœur c'est de savoir comment retranscrire ce que l'on sait.  dans le cas d'une matière à réflexion ce savoir-faire s'acquiert par les exercices.  En chimie tu as de très bons exercices  dans les TD et en général c'est ce qui tombe à l'examen.  n'hésite pas si tu as des questions précises sur des notions que tu arrives pas à appréhender  à poser des questions soit sur le forum ou je me ferais un plaisir de repondre  ou en TD ou l'enseignante te donnera des pistes de ce qui pourra  tomber.

Courage pour la suite 

Posted
Le 15/09/2024 à 20:37, davidd a dit :

Heyy

Ce que je te conseille c'est de vraiment refaire les TD les cours sont parfois théoriques et un peu loin des attentes réelles des enseignants.  C'est vrai en médecine mais c'est extrêmement vrai en licence  le meilleur moyen de réussir c'est pas de tout connaître par cœur c'est de savoir comment retranscrire ce que l'on sait.  dans le cas d'une matière à réflexion ce savoir-faire s'acquiert par les exercices.  En chimie tu as de très bons exercices  dans les TD et en général c'est ce qui tombe à l'examen.  n'hésite pas si tu as des questions précises sur des notions que tu arrives pas à appréhender  à poser des questions soit sur le forum ou je me ferais un plaisir de repondre  ou en TD ou l'enseignante te donnera des pistes de ce qui pourra  tomber.

Courage pour la suite 

Bonjour,  s'il vous plaît tu peux m'expliquer comment on déduire des ions à partir des atomes. Voilà l'exercice. Merci Screenshot_20240919_092552_Dropbox.thumb.jpg.1b958f289013643867805df99e1febac.jpgScreenshot_20240919_092552_Dropbox.thumb.jpg.1b958f289013643867805df99e1febac.jpg

Corrige 1 structure atomique (1).pdf

  • Ancien Responsable Matière
Posted

Heyyyy :) 

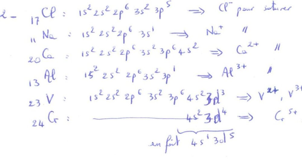
Pour la question 2 je te mets des liens vers des poste car ton exercice comprends des remplissage classique certes mais des remplissage particulier comme le ( argent cuivre crome et molybdène ) 

Donc pour comprendre ces remplissages particuliers je te mets ces post 

 

Pour le reste il faut que tu maitrise la regles de Kletchovsky c'est TOUT LE TEMPS LA MEME CHOSE ( en vrai si tu as du mal fait les annales de PASS pour comprendre c'est top ) 

Mais en bref ton objectif c'est de ranger les electrons dans des cases ces cases ont des energies particulieres et un nombre d'electrons ( 6 pour les p / 2 pour les s / 10 pour les d ) 

1s, 2s, 2p, 3s, 3p, 3d, 4s, 4p 

Tu remplis etage par etages ( sauf pour les quelques exceptions que je t'ai mis au dessus ) 

 

Pour la question 3 ce qu'il faut comprendre c'est qu'a partir de ton remplissage tu va pouvoir savoir combien il te faut ajouter ou supprimer d'electrons pour atteindre la configuration electronique du gaz nobles le plus proches ( geographiquement dans le tableau periodique )

VOILA courage pour la suite :) 

N'hesites pas si ça n'est pas encore claire mais tkt pas avec de l'entrainement sa finira par devenir un automatisme ! 

Posted
il y a 40 minutes, davidd a dit :

Heyyyy :) 

Pour la question 2 je te mets des liens vers des poste car ton exercice comprends des remplissage classique certes mais des remplissage particulier comme le ( argent cuivre crome et molybdène ) 

Donc pour comprendre ces remplissages particuliers je te mets ces post 

 

Pour le reste il faut que tu maitrise la regles de Kletchovsky c'est TOUT LE TEMPS LA MEME CHOSE ( en vrai si tu as du mal fait les annales de PASS pour comprendre c'est top ) 

Mais en bref ton objectif c'est de ranger les electrons dans des cases ces cases ont des energies particulieres et un nombre d'electrons ( 6 pour les p / 2 pour les s / 10 pour les d ) 

1s, 2s, 2p, 3s, 3p, 3d, 4s, 4p 

Tu remplis etage par etages ( sauf pour les quelques exceptions que je t'ai mis au dessus ) 

 

Pour la question 3 ce qu'il faut comprendre c'est qu'a partir de ton remplissage tu va pouvoir savoir combien il te faut ajouter ou supprimer d'electrons pour atteindre la configuration electronique du gaz nobles le plus proches ( geographiquement dans le tableau periodique )

VOILA courage pour la suite :) 

N'hesites pas si ça n'est pas encore claire mais tkt pas avec de l'entrainement sa finira par devenir un automatisme ! 

Merci beaucoup toute façon je fais de mon mieux pour comprendre , mon cerveau bloquée tellement cette UE je l'aime pas parsque j'arrive jamais à comprendre .

Posted
il y a 23 minutes, kamy a dit :

Merci beaucoup toute façon je fais de mon mieux pour comprendre , mon cerveau bloquée tellement cette UE je l'aime pas parsque j'arrive jamais à comprendre .

 

il y a 23 minutes, kamy a dit :

Merci beaucoup toute façon je fais de mon mieux pour comprendre , mon cerveau bloquée tellement cette UE je l'aime pas parsque j'arrive jamais à comprendre .

J'ai essayé de faire la configuration electronique pour ces atomes ça va juste suis bloqué comment à déduit ces ions à partir de cette configuration ex fe2+, ca2+

Screenshot_20240919_105420_Dropbox.jpg

  • Ancien Responsable Matière
Posted

Je te fais le calcium pour commencer maxresdefault.jpg en fait tu dois enlever l'entiereté de la couche la plus remplis ou bien finir de la remnlir en fonction de si enlever ( completer entierement la derniere couche c'est + ou moins rapide que de tout lui enlever ) 

APRES TKT tu seras habitué perso je fais plus sa car les mollecules stables tu les connais par coeur v4-460px-Write-Electron-Configurations-f 

( exemple du Cl ou tu finis de completer la couche ) 

Viens en perm ( dans 30 min ) a l'amphi de PASS batiment A6 de la faculté de medecine si ça n'est pas claire je me ferais un plaisirrr de te l'expliquer de vive voix :) 

Posted
Le 15/09/2024 à 16:23, kamy a dit :

Bonjour,  comment arriver à comprendre la chimie au faite suis bloquée avec cette unité d'enseignement j'arrive pas à comprendre mon cerveau est bloquée en plus c'est à distance en dirais j'ai jamais fais des études je comprends rien avec ces équations. 

Pour l'atomistique regarde Youtube ct ce que j'ai fait pour comprendre. Il y a pleins de vidéos là dessus.

Pour Rédox normalement tu l'as vu au BAC  il faut que tu saches éqlibrer une éq, comprendre la pile,... Mais ct pas tout qui tombe au concours cad il faut pas que tu connaisses les démos. Refait les exos de TD et qcms à fond si tu bloques vraiment, je te conseille d'aller en perm.

 

Posted
Il y a 1 heure, davidd a dit :

Je te fais le calcium pour commencer maxresdefault.jpg en fait tu dois enlever l'entiereté de la couche la plus remplis ou bien finir de la remnlir en fonction de si enlever ( completer entierement la derniere couche c'est + ou moins rapide que de tout lui enlever ) 

APRES TKT tu seras habitué perso je fais plus sa car les mollecules stables tu les connais par coeur v4-460px-Write-Electron-Configurations-f 

( exemple du Cl ou tu finis de completer la couche ) 

Viens en perm ( dans 30 min ) a l'amphi de PASS batiment A6 de la faculté de medecine si ça n'est pas claire je me ferais un plaisirrr de te l'expliquer de vive voix :) 

Vraiment très gentil de votre part si je trouve des difficultés j'essayerai de venir oui pourquoi pas .une autre fois merci infiniment. 

Join the conversation

You can post now and register later. If you have an account, sign in now to post with your account.
Note: Your post will require moderator approval before it will be visible.

Guest
Reply to this topic...

×   Pasted as rich text.   Paste as plain text instead

  Only 75 emoji are allowed.

×   Your link has been automatically embedded.   Display as a link instead

×   Your previous content has been restored.   Clear editor

×   You cannot paste images directly. Upload or insert images from URL.

  • Recently Browsing   0 members

    • No registered users viewing this page.
×
×
  • Create New...
Radio