Jump to content

Question Exercice sur mélange de Gaz


Go to solution Solved by Cerimay,

Recommended Posts

Posted

Bonsoir, 

 

Je faisais l'exercice suivant, Je n'ai pas trop compris pourquoi la répartition entre CO2 et Cl2 est de 2/3 et 1/3 ni trop la formule utilisée pour trouver F de CO2 et F de NO2 d'où ma question: Comment on a pu obtenir ces répartitions ?

 

Personnellement, pour résoudre les QCM C à E, j'ai juste utilisé les fractions molaires avec sa formule

 

Screenshot_20240913_215904_Flexcil.jpg

Screenshot_20240913_215923_Flexcil.jpg

  • Membre du Bureau
  • Solution
Posted (edited)

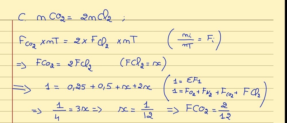
Salut, @OSman dans cet exo pour obtenir les répartitions, la prof utilise le tableau en bas à droite de la diapositive.

On commence par remplir toutes les infos qu'on à (en noir) et complète par des règles de 3 ou produit en croix (en bleu) c'est les 2 formules Pi=fi×Pfi=Pi/P :

image.png.338f74c1fb491f1278ec8a0ea13bfc91.png

 

Il y a 1 heure, OSman a dit :

répartition entre CO2 et Cl2 est de 2/3 et 1/3


Par la suite on ne peu pas utiliser cette technique par manque de données pour le CO2 & Cl2. Or, on nous dit que le "nombre de moles de CO2 = double du nombre de moles de Cl2". Soit nCO2=2nCl2  ce qui nous permet d'écrire dans le tableau (en vert)

image.png.6cdae83f789544f2bc62f8c957e48121.png

en sachant que la somme des pressions partielles et des fractions molaires et respectivement égales à la pression totale et à 1 soit : image.png.7292e379247b61532c2a472407909022.png
On peu donc déduire fCl2 et PCL2 :

fmolécules restantes = 1 - (fo2 + fN2) = 0.25 PMolécules restantes = 0.6 - (Po2 + PN2) = 0.15
3fCl2 = 1 - (fo2 + fN2) = 0.253PCl2 = 0.6 - (Po2 + PN2) = 0.15
C'est là que l'on retrouve notre répartition 1/3 Cl2 et 2/3 Co2. Sur les 3/3 de molécules restantes 2 sont de Co2 et une est du chlore.

en espérant avoir bien répondu à la question, si tu as d'autres questions n'hésite pas  🙂

Edited by Cerimay
  • 2 weeks later...

Join the conversation

You can post now and register later. If you have an account, sign in now to post with your account.
Note: Your post will require moderator approval before it will be visible.

Guest
Reply to this topic...

×   Pasted as rich text.   Paste as plain text instead

  Only 75 emoji are allowed.

×   Your link has been automatically embedded.   Display as a link instead

×   Your previous content has been restored.   Clear editor

×   You cannot paste images directly. Upload or insert images from URL.

  • Recently Browsing   0 members

    • No registered users viewing this page.
×
×
  • Create New...