Jump to content

Recommended Posts

Posted

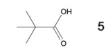
bonsoir, j'aimerais savoir pourquoi la molécule 2 est plus acide que la molécule 5 ? (pour moi plus on a de carbone plus on a un effet d'isomérie donneur donc une diminution de l'acidité) sachant que la molécule 5 a 4C et la 2 en a 5, je pensais que la molécule 5 était plus acide

merci bcp !

image.png.35d41edf3d02320388a24c92b9c9e66e.pngimage.png.e7fa2b9a825a3df4bbf73189d75b4c03.png

  • Solution
Posted

Salut, vraiment pas sur mais je crois il faut regarder en alpha du carbone portant la fonction acide 

 

Comme tu l’as dit lés groupement donneur réduisent l’acidité 

 

Ainsi pour la molécule 5 on a 2 méthyl sur le carbone en alpha

Contre seulement 1 methyl sur le carbone en alpha pour la molécule 2 

 

Ainsi la molécule 2 est plus acide que 5 

Join the conversation

You can post now and register later. If you have an account, sign in now to post with your account.
Note: Your post will require moderator approval before it will be visible.

Guest
Reply to this topic...

×   Pasted as rich text.   Paste as plain text instead

  Only 75 emoji are allowed.

×   Your link has been automatically embedded.   Display as a link instead

×   Your previous content has been restored.   Clear editor

×   You cannot paste images directly. Upload or insert images from URL.

  • Recently Browsing   0 members

    • No registered users viewing this page.
×
×
  • Create New...