Jump to content

QCM 5 Annales 2023


Go to solution Solved by Cicatrix,

Recommended Posts

Posted

Salut,

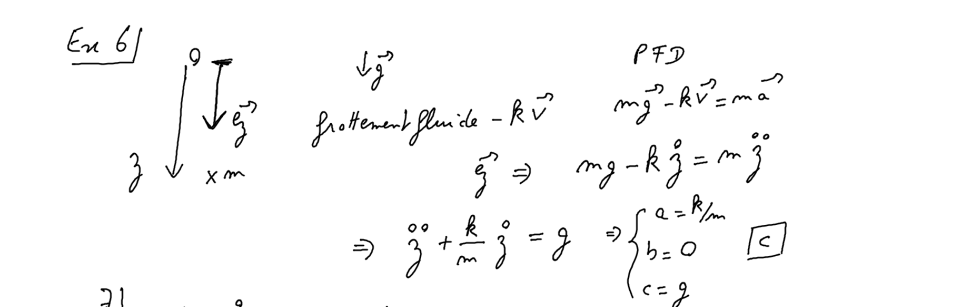
Je comprend cet exercice dans sa generalité, sauf que je n'arrive pas au même resultat que le prof parce que moi je retire la masse car elle est de part et d'autre de l'egalité.

Ma question est donc la suivante, pourquoi on la garde?

 

Voici le sujet:

9knj.png

Voila la correction:

 

7jzm.png

 

Merci

 

  • Solution
Posted (edited)

Salut @yrr

on enlève la masse en divisant chaque membre de l'équation par elle :

m/m donne 1   et  k/m  fait que la masse reste dans un membre de l'équation

est ce que c'est mieux ?

f.png

 

Edited by Cicatrix

Join the conversation

You can post now and register later. If you have an account, sign in now to post with your account.
Note: Your post will require moderator approval before it will be visible.

Guest
Reply to this topic...

×   Pasted as rich text.   Paste as plain text instead

  Only 75 emoji are allowed.

×   Your link has been automatically embedded.   Display as a link instead

×   Your previous content has been restored.   Clear editor

×   You cannot paste images directly. Upload or insert images from URL.

  • Recently Browsing   0 members

    • No registered users viewing this page.
×
×
  • Create New...
Radio