Saracroche Posted March 14, 2024 Posted March 14, 2024 (edited) Bonjour, j'arrive pas a trouver la meme chose que le prof, je tombe toujours sur gD sin a / cos a https://ibb.co/1nRFPm1 Pour celle ci aussi les deux dernières lignes, je ne trouve pas la même chose https://ibb.co/ncqcPJF Je veux bien de l'aide svp, merci d'avance !! Edited March 14, 2024 by Saracroche Quote
Ancien Responsable Matière Solution Von Posted March 14, 2024 Ancien Responsable Matière Solution Posted March 14, 2024 Pour ta 2e question, je n’utilise pas la même méthode donc je ne peux pas t’aider désolé. Quote
la_myaALGIE Posted March 14, 2024 Posted March 14, 2024 il y a 6 minutes, Von a dit : Pour ta 2e question, je n’utilise pas la même méthode donc je ne peux pas t’aider désolé. Je peux savoir quelle méthode tu utilises @Von ?? Parce que celle du prof est flou pour la 2eme question Quote
Ancien Responsable Matière Von Posted March 14, 2024 Ancien Responsable Matière Posted March 14, 2024 il y a 3 minutes, la_myaALGIE a dit : Je peux savoir quelle méthode tu utilises @Von ?? Parce que celle du prof est flou pour la 2eme question Oui je vais le rédiger, je te montre juste après la_myaALGIE 1 Quote
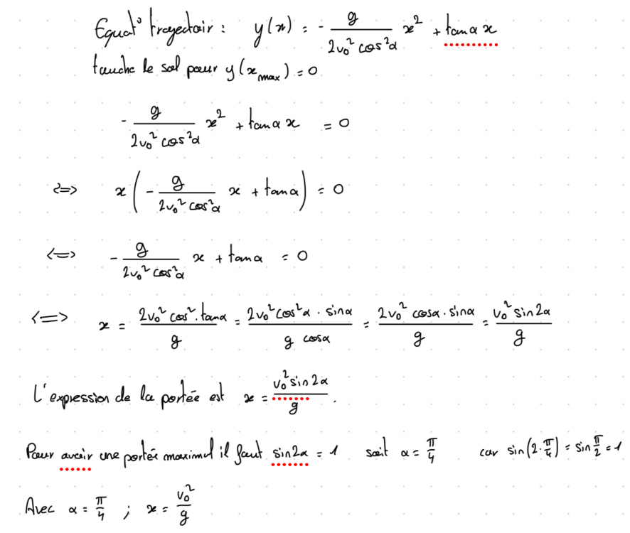
Ancien Responsable Matière Von Posted March 14, 2024 Ancien Responsable Matière Posted March 14, 2024 Voilà, c’est une manière + simple d’exprimer la porté je trouve, c’est la méthode du lycée. Si tu as des questions n’hésite pas. la_myaALGIE 1 Quote
la_myaALGIE Posted March 14, 2024 Posted March 14, 2024 il y a 5 minutes, Von a dit : Voilà, c’est une manière + simple d’exprimer la porté je trouve, c’est la méthode du lycée. Si tu as des questions n’hésite pas. Ahhhhh mais moi aussi j’essayais avec cette méthode du sin2a aussi mais je trouve des truc trop chelou mais mercii du coup. Juste comment on sais que pour le max il faut sin2a=1 (il y a une propriété à connaitre ??) Quote
Ancien Responsable Matière Von Posted March 14, 2024 Ancien Responsable Matière Posted March 14, 2024 il y a 3 minutes, la_myaALGIE a dit : sais que pour le max il faut sin2a=1 (il y a une propriété à connaitre ??) Ah non non rien à connaître, mais tu sais que le maximum que peut atteindre sinus c’est 1. Donc pour avoir le plus grand x il faut que sin2α = 1 la_myaALGIE 1 Quote
la_myaALGIE Posted March 14, 2024 Posted March 14, 2024 à l’instant, Von a dit : Ah non non rien à connaître, mais tu sais que le maximum que peut atteindre sinus c’est 1. Donc pour avoir le plus grand x il faut que sin2α = 1 Ahhh okok c’est tout, merciii tu gère de fou !! Von 1 Quote
Recommended Posts
Join the conversation
You can post now and register later. If you have an account, sign in now to post with your account.
Note: Your post will require moderator approval before it will be visible.