Jump to content

annale session 2 2020 2021


Go to solution Solved by Antoibaïne,

Recommended Posts

  • Ancien Responsable Matière
  • Solution
Posted

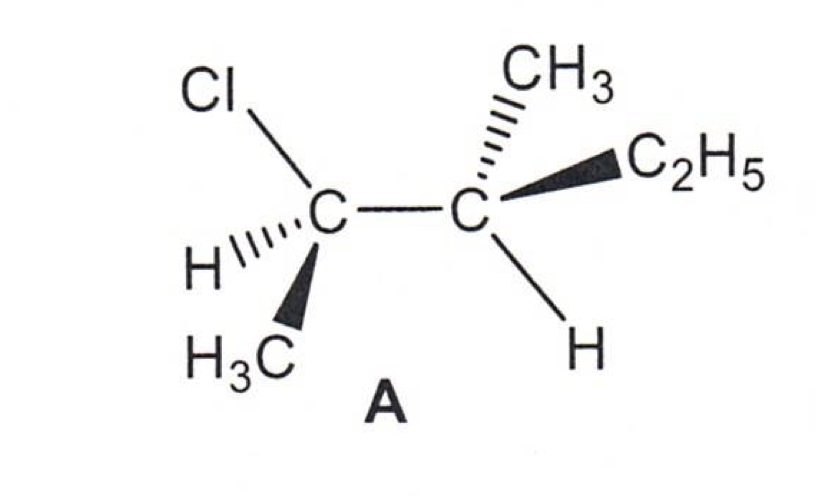
Saluut, c’est un peu difficile à expliquer sur le forum mais je vais essayer : fait tourner ta molécule comme un volant de voiture pour positionner ton groupement le plus faible (le H ici) pour qu’il soit en arrière dans le plan de la molécule. Pour ce faire, tu dois aussi bouger les autres groupements : https://zupimages.net/viewer.php?id=24/11/c84w.jpeg

 

C’est plus clair ?

Join the conversation

You can post now and register later. If you have an account, sign in now to post with your account.
Note: Your post will require moderator approval before it will be visible.

Guest
Reply to this topic...

×   Pasted as rich text.   Paste as plain text instead

  Only 75 emoji are allowed.

×   Your link has been automatically embedded.   Display as a link instead

×   Your previous content has been restored.   Clear editor

×   You cannot paste images directly. Upload or insert images from URL.

  • Recently Browsing   0 members

    • No registered users viewing this page.
×
×
  • Create New...