Jump to content

Question sur exo 4 de TD 7 et exo 4 deTD9 de maths fonctions


Go to solution Solved by Movgde,

Recommended Posts

Posted

Bonsoir à tous,

Est-ce que quelqu'un a réussi d'écrire l'exo 4 de TD 7 sans utilisant la méthode de changement de variable ? Si oui, pourriez vous m'expliquer votre démarche ?

Et aussi j'aimerais savoir combien de u.a vous avez trouver pour l'exercice 4 de TD 9.

 

Merci pour votre attention.

 

maths td 7 exo 4 autre methode de resolution suaf substitution.PNG

maths td 9 exo 4.PNG

  • Ancien Responsable Matière
  • Solution
Posted (edited)

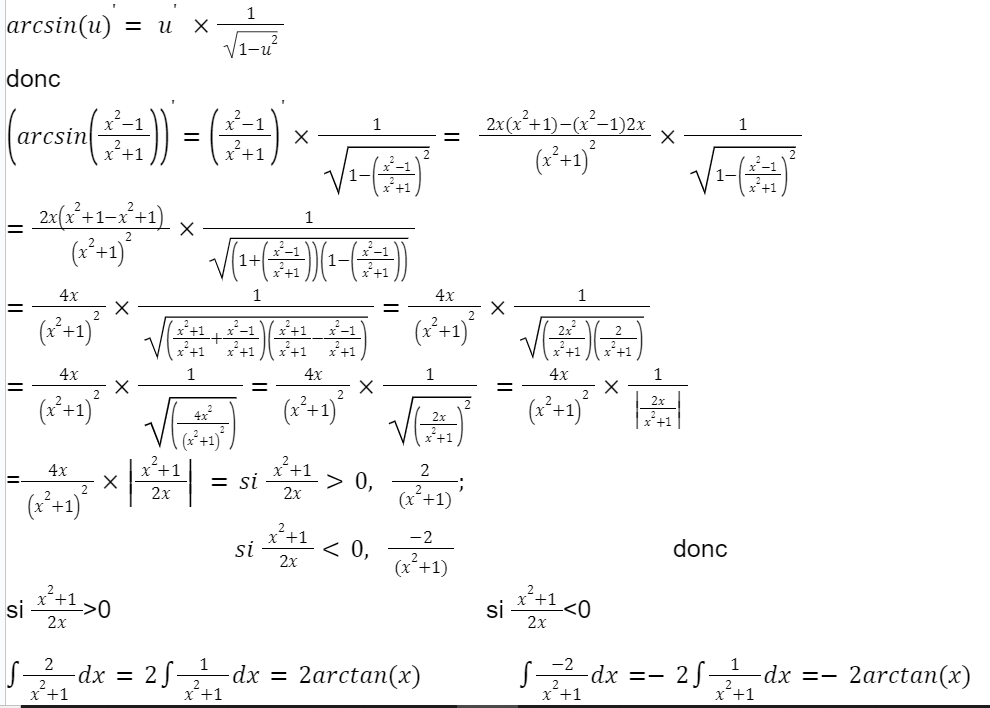
Salut ! @Leeuwenhoek

Pour ta première question j'ai fait ça, jsp si c'est ce que tu attendais car je vois pas où y'a un changement de variable.

spacer.png

 

 

 

Et pour ta deuxième question j'ai ça :

spacer.png

Edited by Movgde
modification image
Posted

Merci beaucoup @Movgde pour ton aide !!💙

 

J'ai vu sur internet qu'on pourrait faire une substitution par tanx à la place de x, mais comme j'avais résolu l'exercice comme toi, je ne voyais pas où j'ai fait une erreur.

 

Encore merci :)

 

 

Join the conversation

You can post now and register later. If you have an account, sign in now to post with your account.
Note: Your post will require moderator approval before it will be visible.

Guest
Reply to this topic...

×   Pasted as rich text.   Paste as plain text instead

  Only 75 emoji are allowed.

×   Your link has been automatically embedded.   Display as a link instead

×   Your previous content has been restored.   Clear editor

×   You cannot paste images directly. Upload or insert images from URL.

  • Recently Browsing   0 members

    • No registered users viewing this page.
×
×
  • Create New...
Radio